Back to: PHYSICS SS2
Welcome to class!
In today’s class, we will be talking about the microscope. Enjoy the class!
Microscope

A microscope is an instrument used to view near object and it is in normal use when the final image is formed at the near point of the eye. There are two types of microscope, simple microscope and compound microscope. The simple microscope has one convex lens while the come microscope has two convex lenses called the objective lens and eyepiece lens respectively. The focal length of the eyepiece lens is longer than that of the objective lens.
SIMPLE MICROSCOPE
The object is kept between the focus and the lens and the final virtual, enlarges and erect image is formed between F and 2F (figure 1). When the microscope is in abnormal use, the object is at the focus and the final, virtual, erect and magnified image is formed at infinity (figure 2).



COMPOUND MICROSCOPE
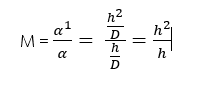
It is made up of two convex lenses, objective and eyepiece lenses, both with short focal lengths as shown in the figure 1 below. The object O, is kept at a distance greater than the focal length of the objective lens. The first image II formed is between the focus and the eyepiece lens which serves as a magnifying lens to the image II. A final magnified, virtual, inverted image I2 is formed. In practical two convex lenses are used as the eyepiece in a compound microscope and telescope, to reduce chromatic and spherical aberrations. For a final upright image to be formed in a compound microscope, the object initially is mounted upside down. In abnormal use figure 2. The final image Is formed at infinity, because the image, I is formed at the focus of the eyepiece lens.




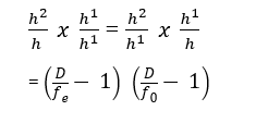
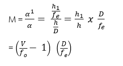
The angular magnification, M is given by:

THE TELESCOPE
This is an optical instrument used for observing different objects. It brings the object close when viewing through it. There are many types, which include
Astronomical Telescope
This is used for viewing heavenly bodies. It has two convex lenses. The objective has a focal length while the eyepiece has a short focal length. In normal adjustment, the principal foci of the objective lens and the eyepiece coincide. Hence the distance between the lenses is fo + fe. For telescope in normal adjustment, the final image is at infinity.
Galilean Telescope
Produces an erect image. It consists of an objective lens which is a diverging lens and an eyepiece which is a convex lens.
Terrestrial Telescope
This is used for viewing object on the surface of the earth. It consists of two converging lenses, the objective and the eyepiece. A third converging lens called re-inverting lens is placed in between the objective and the eyepiece. The final image is erect due to the re-inverting lens.
The Prism Binoculars
This is a small version of the terrestrial telescope. In addition to the objective lens and eyepiece, it has two reflecting prisms. The re-inverting lens in thee terrestrial telescope makes it to be too long. The prism binocular solves this problem because it is a compact instrument.
SLIDE PROJECTOR
This equipment is used for projecting a real image of a transparent picture onto a screen. The components and structure as shown in the diagram below include concave mirror, light source (e.g. lamp), condenser, the slide, convex lens and the screen. The transparent picture (slide or film) is illuminated by the lamp. The concave mirror ensures that the light from the lamp is concentrated on the condenser. The convex lens produces an enlarged image of the slide on the screen. The image produced by the convex lens is inverted; hence the slide is always placed in an inverted position, to produce an image that is the right way up.
In our next class, we will be talking about Sound Waves. We hope you enjoyed the class.
Should you have any further question, feel free to ask in the comment section below and trust us to respond as soon as possible.
Wow nice Lesson I Learn Alot