Back to: Mathematics Primary 5
HELLO, WELCOME BACK TO CLASS
Squares of numbers
Square of numbers are obtained by multiplying a given number by itself.
We can form square patterns by arranging 4, 9, 16, and 25 counters in equal numbers of rows and columns. These numbers are therefore called perfect squares.
EXAMPLE 1: Find the squares of 2 and 3
2 x 2 = 4 We say ‘the square of 2 is 4’. We write 22 = 4
3 x 3 = 9 We say ‘the square of 3 is 9’. We write 32 = 9
Note: The small 2 above the given number is called the power or index. It is a notation which shows that the given number is squared or multiplied by itself. The number 22 is the index form of the number 4 etc.
EXAMPLE 2: Find the square of 13
The square of 13 = 132 = 13 x 13
= 169

Square roots of numbers
Given the square number 49, we can find a number which gives 49 when multiplied by itself. This number is 7, since 7 x 7 = 49. We say the square root of 49 is 7 and we write
![]()
The symbol is used to denote the square root.
The square of 7 is 49 that is, 72 = 49.
The square root of 49 is 7 that is, = 7
Therefore the square root of a number is the number which when multiplied by itself gives the number under the square root sign.

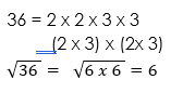
The square root of a given number can also be calculated by first finding the factors of the given number and then expressing the given number as a product of two equal factors.
EXAMPLE 3: Find the square root of 36
      
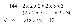
EXAMPLE 4: Find the square root of 144
    
Quiz
Solve the following
1 a. 92 – 32 b. 112 – 82 c. 122 + 52
- 172 – 132 e. 202 + 192 f. 392 – 232
 
- 332 +222 h. 322 – 312 i. 272 + 232 – 122 x 32
 - 3.22 + 2.62 k. 0.72 – 0.52 l. 6.42 + 5.22
 
2 Simplify the following.
- c.
 - +
 - +
 
				
square cube and square cuboid