Back to: PHYSICS SS2
Welcome to class!
In today’s class, we will be talking about position, distance and displacement. Enjoy the class!
Position, Distance and Displacement
POSITION
Position is a point in space, is determined by its distance and direction from other points. The statement of position is accomplished by means of a frame of reference or a point of reference, which is called the Origin. Position is a location of a point using rectangular coordinates, x and y axes. When writing the coordinates of points, x is written first followed by y.
WORKED EXAMPLE
(1) Point A (2, -3) has the value of x as 2 and that of y as – 3. Represent this on the Cartesian plane.
SOLUTION

NOTE:
The x – coordinate is also known as abscissa while the y – coordinate is known as ordinate.
DISTANCE
Distance is the product of average speed and time.
Distance = average speed x time
Distance is also defined as the length of space covered by an object when it changes position from one point to another. Note that the direction is not specified hence distance is a scalar quantity. The S.I unit is the metre (m).
DISPLACEMENT
Displacement is the distance travelled in a constant direction.
Displacement average velocity x time
Displacement is also defined as the distance a body moves in a specified direction. It is, therefore, a vector quantity.
It is denoted by the letter ‘s’ and has both magnitude and direction. The SI unit for displacement is the metre (m).

WORKED EXAMPLES
(1) A body moving with a constant velocity along a straight line ABC takes 45 minutes to go from A to B and 10 minutes from B to C. if Ac is 3km find AB

SOLUTION
Average Velocity:  
But displacement s = average velocity, v x time, t
Therefore: Displacement AB = 3/55 x 45 = 2.45 km.
(2) A man walks 1 km due East and then 1 km due North. Find the displacement.
SOLUTION

R2 = 12 + 12
R2 = 2
R =
tan = = 1
= 45°
Therefore the displacement R = 
N 45° E
(3) Calculate the distance in metres covered by a body moving with a uniform speed of 180 km/h in 30 seconds.
SOLUTION
Given parameters
Time = 30 seconds
Uniform speed = 180km/r
Converting from km/hr to m/s
![]()
Therefore
Distance covered= Speed x time
=50 x 30
=1500 m
(4) A body is uniformly accelerated from rest to a final velocity of 100m/s in 10 seconds. Calculate the distance covered.
SOLUTION
Given parameters
Velocity (u) = 100m/s
Time = 10seconds
Note: Velocity is given so we apply the equation of motion
Therefore (a = 10m/s2)
S=ut+ ½ at2
Substituting:
=0×10+ ½ ×10×102
= = 500 m
Distance between two coordinates points

Let P P(x1, y1) and Q(x2, y2) be any two points. The distance between P and Q is found by completing the right-angled triangle PQR with the right angle at R by applying Pythagoras Theorem.

WORKED EXAMPLES
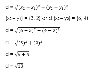
(1) Find the distance between the two coordinates A(3, 2) and (6, 4)
SOLUTION
The distance (d) between two points (x2 – x1) and (y2 – y1) is defined by:

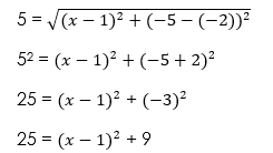
(2) Find the value of x, given the following coordinates A(1, -2) and B(x, -5) with a distance of 5.
The distance (d) between two points (x2 – x1) and (y2 – y1) is defined by:
Given parameters:
d = 5
(x1 – y1) = (1, -2) and (x2 – y2) = (x, -5)
Substituting:

Collect like terms
25 – 9 =
16 =
Take square root of both sides

x = 5
Therefore x = 5
A(1, -2) and B(5, -5)
In our next class, we will be talking about Physical Quantities. We hope you enjoyed the class.
Should you have any further question, feel free to ask in the comment section below and trust us to respond as soon as possible.
				
I enjoyed today’s lesson
I love today class
Yes me too
nice
I loved the wayythe lessons are arranged
I love today’s class
Determine the distance between S(3,4,-5)and T(2,1,0)
what is the distance between point A (9,6) and point B (5,3)
2.65
Great job. I so much appreciate you. This note was really useful and helpful.
Thanks for this, its a great resource
Yes this is so helpful, it helped me to study
I really enjoyed it and i wish you get an app which I can download .
great
Good thing
IT is very good and
Wow interesting
Keep up the work
I enjoyed the class well. Keep it up
Thank you so much,l love this lesson
Thank you so much l love this lesson
Comprehensive note
Interesting
I like the class it is fantastic and is understandable to really nice
How are you .am taking part in this topics, thanks
This has helped me a lot😊👍
I agree
It has also help me a lot too
HOW CAN I JOIN THE CLASSES
This class is damn great
I didn’t understand this topic
What part?
I can I join
Today’s class was awesome
how can i join the classes plss
Wow, really comprehensive
On distance between two coordinates points is there not an explanation where graph is needed
U love today class but ,I don’t understand the worked one number 4
Wow
Thanks you so much Sir
Nice class
thank you so much.
We’re glad you found it helpful😊 For even more class notes, engaging videos, and homework assistance, just download our Mobile App at https://play.google.com/store/apps/details?id=com.afrilearn. It’s packed with resources to help you succeed🌟
√7
very interest
A very useful lesson 👋❤️
love it
I love the class. Thank you for holding the classes❤️
But please I do not understand the worked example in number 2. Please can someone clarify it🙏
thank you a lot for this, I’m really improving
the lesson was good
Pls what is promotion all about in marketing
Please how can i join this class?
Please i`m waiting for the reply
I need steps to register
Thanks I Love This