Back to: PHYSICS SS2
Welcome to class!
In today’s class, we will be talking about sound waves. Enjoy the class!
Sound Waves

Sound is a form of energy arising due to mechanical vibrations. Hence sound waves require a medium for its propagation sound cannot travel a medium for its propagation. Sound cannot travel in a vacuum. The sound waves are propagated as longitudinal mechanical waves through solids liquids and gases.
TRANSMISSION OF SOUND WAVES
Wave is transmitted through a material medium such as solid, liquid and gas. The speed of sound transmitted depends on the state of matter.
Production of Sound
Sound is produced due to the vibration of objects. Vibration is a periodic back-and-forth motion of the particles of an elastic body or medium kind about a central position. It is also named as oscillation. For example, Stretched strings of a guitar vibrate to produce sound.
Propagation of Sound
- The travelling of sound is called propagation of sound.
- When an object vibrates, the particles around the medium vibrate. The particle in contact with the vibrating object is first displaced from its equilibrium position. Each particle disturbs the other particle in contact. Thus, the disturbance is carried from the source to the listener.
Only the disturbance produced by the vibrating body travels through the medium but the particles do not move forward themselves.

Medium
(i) The matter or substance through which sound is transmitted is called a medium.
(ii) A medium is necessary for the propagation of sound waves.
(iii) The medium can be solid, liquid or gas.
(iv) Sound cannot travel in a vacuum.
Characteristics of a sound wave
Sound waves have the following characteristics:
- Pitch and Frequency
- Intensity/Loudness and amplitude
- Quality/Tone/Complexity (or Timbre)
Pitch
The pitch of a sound note depends on its frequency. High frequency means high pitch while musical note with low pitch has a low frequency. For instance, the Baritone voice of a man has a lower frequency than the high pitch voice of a female soprano singer.
Octave note: An octave note is a note of twice its fundamental frequency. Thus, the octave note of 250Hz is 500Hz that of 350Hz is 700Hz etc. it should be noted that musical interval is the ratio of the frequencies of the two notes.
Note: fundamental frequency f1 for

Intensity/Loudness
Intensity or loudness of a sound indicates the amount of sound energy received in a unit time. The loudness of a sound note depends on the amplitude of vibration. A big drum produces a louder sound than a small drum when struck with the same force. It is measured in decibel ‘dB’. Intensity and loudness are related but not the same. Loudness depends on the ear receiving it. What is perceived, being very loud to some ears might appear normal to some others. Intensity is the energy per unit time per unit area, which is perpendicular to the direction of the wave. It is denoted by I, measured in wm-1 and is a vector quantity.
Thus, I = P ÷ A
Where A = πr2
Note:
P = power of the source, A = area, I = Intensity of sound and r = distance from the sound.
Quality (or Timbre)
One can distinguish sound from a piano (on a particular key) from sound from the trumpet (being played on the same key) by the quality of sound. Quality of sound depends on the overtones present.
Overtones are notes of higher frequencies that are produced when a given note is played on an instrument. For instance, if a note of 256Hz is played on an instrument, it is accompanied by weaker notes of higher frequencies 2 x 256Hz; 3 x 256Hz; 4 x 256Hz etc. These are the overtones. The main note (256Hz) is the fundamental note. All the notes (fundamental and overtones) are called harmonics. Different musical instruments produce different harmonics for a given note. Hence, the sound has a different quality.
Note: the possible overtones in:

Music and Noise
Music: It is the sound that is pleasant to hear. For example, Sound coming out of musical instruments)
Noise: It is the sound that is unpleasant to hear. For example, Sound produced by vehicles.
Tone and Note
Tone: A pure sound of a single frequency is called tone.
Note: An impure sound produced by a mixture of many frequencies is called a note. For example, A musical note has tones of various frequencies.
Audible Frequency
The audible range of human ear is 20 Hz and 20,000HZ, i.e., the human ears can hear only those waves whose frequency lies between 20 Hz and 20,000HZ.
Forced vibrations and Resonance
Resonance occurs when two objects of the same length are placed side by side to each other, and one of them vibrates at the natural frequency.
Examples of resonance are:
(i) A child’s swing
(ii) Rattling of windows.

End correction in the determination of sound velocity using a resonance tube

WORKED EXAMPLES
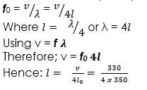
(1) Calculate the length of the air column in a tube closed at one end required to produce a note whose fundamental frequency is 350Hz (The speed of sound in air is 330m/s). Neglect end correction.
SOLUTION
Fundamental frequency f0 for a closed tube is given by

= 0.24
(2) Calculate the frequency of the first overtone of a closed pipe of length 20.0 cm if the end correction is 0.7 cm and the velocity of sound is 340 m/s.
SOLUTION


(3) Two turning forks of frequencies 256Hz and 260Hz are sounded closed to each other. What is the frequency of the beats produced?
SOLUTION
The frequency of the beat produce is obtained by finding the difference between two nearly equal frequencies
Hence: 260 – 256 = 4Hz
In our next class, we will be talking about Musical Instruments. We hope you enjoyed the class.
Should you have any further question, feel free to ask in the comment section below and trust us to respond as soon as possible.
This book is good . I really enjoy it
This was helpful and enlightening. Thank you so much for this.
Pictures aren’t clear